Início » Trab. Estudantes » Física » 11º Ano

Trabalhos de Estudantes

Trabalhos de Física - 11º Ano

 

Salto para a Piscina

Autores: Sara Souza e Silva

Escola: [Escola não identificada]

Data de Publicação: 29/03/2012

Resumo do Trabalho: Relatório sobre "Salto para a Piscina" cujo objectivo foi compreender que o lançamento horizontal de um projéctil é a composição de dois movimentos, realizado no âmbito da disciplina de Física-Química (11º ano).

Ver Trabalho Completo

Comentar este trabalho / Ler outros comentários

Se tens trabalhos com boas classificações, envia-nos, de preferência em word através do Formulário de Envio de Trabalhos pois só assim o nosso site poderá crescer.

 

 

 

Salto para a Piscina

Fundamento

O movimento associado ao “salto para a piscina” pode explicar-se pela sobreposição de dois movimentos:

. MRU, na horizontal (eixo do x) no qual a V0 mantém-se constante

. MRUA, na vertical (eixo do y) no qual a aceleração, g, mantém-se constante

Com a equação acima escrita chegamos à conclusão de que, num gráfico do alcance, x, em função da velocidade no instante inicial, V0, o declive do gráfico é numericamente igual ao tempo de queda da esfera.

Materiais

. Calha flexivel

. Corpo

. Células fotoeléctricas

. Digitímetro

. Papel químico

Objectivos

. Compreender que o lançamento horizontal de um projéctil é a composição de dois movimentos

. Relacionar o alcance horizontal com a velocidade de lançamento

Grandezas

Grandezas medidas:

. d – diâmetro da esfera = 1,28×10^-2

. h – altura da rampa em relação à mesa

.   y – altura de queda = 8,634×10^-1

.   t – tempo de passagem na célula

. x – alcance horizontal

. m – massa da esfera = 9,0×10^-3 Kg

Grandezas calculadas:

. V0  - velocidade da esfera ao passar na célula

Procedimento

1. Medir o diâmetro da esfera

2. Medir a altura do lançamento da esfera em relação à mesa

3. Colocar a célula fotoeléctrica no final da calha, no ponto de lançamento da esfera

4. Utilizar o digitímetro para cronometrar o intervalo tempo no qual o feixe é interrompido pela esfera

5. Medir, com uma fita métrica, o alcance da esfera

6. Repetir o procedimento abandonando a esfera de diferentes alturas

Registo dos dados

Ensaio

h/m

Δt/s

V0=d÷Δt(msΛ−1)

x/m

1

4,0×10Λ−1

6,308×10Λ−3

2,029

8,13×10Λ−1

2

3,0×10Λ−1

7,324×10Λ−3

1,748

7,04×10Λ−1

3

2,5×10Λ−1

7,887×10Λ−3

1,623

6,55×10Λ−1

4

2,0×10Λ−1

8,754×10Λ−3

1,462

5,89×10Λ−1

5

2,3×10Λ−1

8,185×10Λ−3

1,564

6,28×10Λ−1

6

1,5×10Λ−1

9,970×10Λ−3

1,284

5,16×10Λ−1

7

1,0×10Λ−1

11,905×10Λ−3

1,075

4,31×10Λ−1

8

1,8×10Λ−1

9,165×10Λ−3

1,397

5,57×10Λ−1

 

Conclusões:

Após a observação do gráfico obtido, podemos concluir que o alcance, x, aumenta constantemente com a velocidade no instante inicial, V0. Esta constante, k, é numericamente igual ao tempo de queda. Assim, para qualquer que seja a velocidade no instante inicial, desde que seja diferente de zero, a espera demora sempre o mesmo tempo a atingir o alcance correspondente. Uma vez que o declive num gráfico x= V0 é numericamente igual ao tempo de queda do corpo e sabendo que o declive do nosso gráfico é (aproximadamente) 0,40239, podemos concluir que a esfera, independentemente da sua velocidade inicial, demora 0,40239 s a chegar à correspondente posição no solo, x.

A intersecção da recta de ajuste com o eixo do y vai dar origem a um ponto que se vai aproximar do ponto de origem do gráfico, de coordenadas (0,0). Quer isto dizer que, para que se verifique a sobreposição dos dois movimentos (no eixo do x e no eixo do y), o corpo tem de ter uma velocidade inicial, com direcção paralela ao eixo do x, diferente de zero. Assim, se a velocidade inicial do corpo for igual a zero, o corpo apenas apresenta um movimento no eixo do y (movimento de queda livre) e, consequentemente o seu alcance será aproximadamente zero. Com base na nossa experiência, se a velocidade inicial for zero, o alcance será 0,001107 m.

Questões:

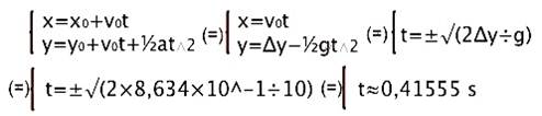
O tempo de queda previsto seria 0,41555 s. No entanto, o tempo de queda obtido a partir dos dados experimentais foi 0,40239 s. A diferença de 0,01316 s que se verificou entre os tempos de queda pode deve-se aos erros na medição de grandezas como a altura de queda, Δy, o alcance, x, o diâmetro da esfera, d, ou na aproximação de alguns valores, como a velocidade inicial. A cronometragem do intervalo de tempo no qual o diâmetro da esfera interrompe o feixe seria complicada, dada a sua rapidez. Assim, para que não se verifique o aumenta da diferença entre os tempos de queda, é utilizado um digitímetro.

Bibliografia:

. http://docs.google.com/viewer?a=
v&pid=sites&srcid=ZGVmYXVsdGRvbWFpbnxmaXNpY2FlcXVpbWljYW5hbmV0f
Gd4OjJiY2MwMTFlMjhhMzk4NWU&pli=1

. Caderno laboratorial

. Livro do aluno

. Apontamentos da aula

 

Outros Trabalhos Relacionados

Ainda não existem outros trabalhos relacionados

Início » Trab. Estudantes » Física » 11º Ano