Início » Trab. Estudantes » Matemática » 10º Ano

Trabalhos de Estudantes

Trabalhos de Matemática - 10º Ano

 

Elipse

Autores: Anónimo

Escola: [Escola não identificada]

Data de Publicação: 08/03/2012

Resumo do Trabalho: Trabalho sobre a Elipse, um conjunto de pontos do plano cuja soma das distâncias a dois pontos fixos é constante (2a) e maior do que a distância entre eles, realizado no âmbito da disciplina de Matemática (10º ano).

Ver Trabalho Completo

Comentar este trabalho / Ler outros comentários

Se tens trabalhos com boas classificações, envia-nos, de preferência em word através do Formulário de Envio de Trabalhos pois só assim o nosso site poderá crescer.

 

 

 

Elipse

Introdução

Uma cónica é toda a linha que obtém como interseção de um plano com uma superfície cónica. Uma superfície cónica de revolução é a superfície gerada pela rotação completa de uma reta (geratriz) em torno de outra reta (eixo), formando com esta sempre o mesmo ângulo, até completar uma revolução (volta completa). Ao ponto comum à geratriz e ao eixo chama-se vértice. Quando o plano que interseta a superfície cónica passa pelo vértice, a secção obtida é uma cónica degenerada.

As cónicas classificam-se em três grandes grupos:

. Elipse (ou elipse degenerada – um ponto);

. Hipérbole (ou hipérbole degenerada);

. Parábola (ou parábola degenerada – uma reta).

Neste trabalho vou falar, em especial, sobre a elipse.

Definição de Elipse:

Uma elipse é um conjunto de pontos do plano cuja soma das distâncias a dois pontos fixos é constante (2a) e maior do que a distância entre eles.

Os pontos fixos são os focos da elipse. À distância entre os focos chama-se distância focal (2c).

Os elementos da elipse são: o centro, o eixo maior, o eixo menor, os focos e os vértices. Os eixos de simetria da elipse são x=0 e y=0.

Métodos de Construção

Existem vários métodos de construção da elipse, mas os mais utilizados são os seguintes:

. Método do Jardineiro;

. Método de alongamento de uma circunferência;

. Método das duas circunferências.

O método do jardineiro consiste, em espetar duas hastes verticais no chão, atar as extremidades de uma corda a cada uma das hastes e com um pau encostado à corda ir traçando a elipse no chão, mantendo sempre a corda esticada. O comprimento da corda deve, obviamente, ser superior à distância entre as hastes.

O método de alongamento de uma circunferência consiste em, partindo de uma circunferência de um determinado diâmetro, com centro na origem de um referencial, multiplicar as abcissas de todos os pontos da circunferência por um fator de alongamento. O diâmetro da circunferência deve ser igual ao eixo menor da elipse que se pretende traçar. O fator de alongamento deve ser escolhido para que quando multiplicado por diâmetro da circunferência dê a medida do eixo maior da elipse. 

O método das duas circunferências o diâmetro da circunferência maior é igual ao eixo maior da elipse, sendo o da menor igual ao eixo menor. A excentricidade da elipse pode ser alterada movendo o ponto C sobre o sagemento AB.

Equação da Elipse

Elipse com focos sobre o eixo Ox:

F1= (c, 0)

F2= (-c, 0)

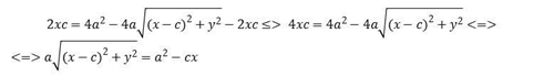
Seja 2a a soma das distâncias do ponto P= (x, y) aos focos. De acordo com a definição de elipse, vem:

d(P,F1)+d(P,F2)=2a

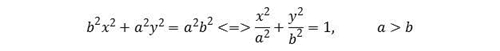
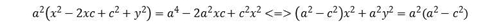
Elevando ambos os membros ao quadrado, obtemos:

Elevando novamente ao quadrado:

Como a> c então a2-c2 > 0. Temos a2-c2 = b2, pelo teorema de Pitágoras.

Então:

O quadro seguinte resume as principais características da elipse com focos sobre o eixo Ox

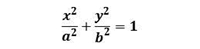
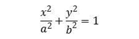
Equação reduzida da elipse

 , a>b

Eixos maior e menor

2a e 2b, respetivamente

Focos

(-c,0); (c,0)

Vértices

(±a,0); (0,±b)

Distância Focal

2c

Centro da elipse

(0,0)

Exentricidade

Diretrizes

A excentricidade (e) da elipse é o quociente entre a semi-distância focal e o semieixo maior (0<e<1).

Elipse com focos sobre o eixo Oy:

F1= (0,c)

F2= (0, -c)

Temos a<b e pelo teorema de Pitágoras, vem que  

De acordo com a figura, a equação será:

O quadro seguinte resume as principais características da elipse com focos sobre o eixo Oy:

Equação reduzida da elipse

Eixos maior e menor

2b e 2a, respectivamente

Focos

(0,-c); (0,c)

Vértices

(±a,0); (0,±b)

Distância focal

2c

Centro da elipse

(0,0)

Excentricidade

Directrizes

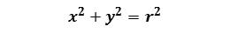
Nota: A circunferência é um caso particular da elipse, cuja excentricidade (desvio do centro) é nula. Para elipses muito próximas da circunferência, os focos estão próximos do centro e a excentricidade é muito pequena.

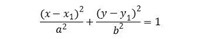
Para cada uma das elipses consideradas, podemos ainda admitir uma translação segundo um vector:

Tomemos como exemplo a elipse de equação 

 

A equação da nova elipse obtém-se da anterior substituindo x por x-x1 e y por y-y1

Da equação da circunferência para a equação da elipse:

Seja 

a equação reduzida de uma elipse. Se tomarmos a=b=r vem:

Obtemos, deste modo, uma circunferência de centro na origem e raio r, cuja equação é:

 

Conclusão:

Este trabalho serviu para aprofundar o conhecimento sobre a elipse. Fiquei a conhecer técnicas de construção existentes e o modo de as aplicar, sendo a mais utilizada o método do jardineiro.

A equação reduzida da elipse ou equação canónica e do tipo x^2/a^2 +y^2/b^2 =1 onde a e b são semieixos da elipse, podendo assim escrever as equações reduzidas de qualquer elipse sabendo um dos seus pontos.

Bibliografia:

Textos:

http://www.educ.fc.ul.pt/icm/icm99/icm26/

http://www.cl-gaia.rcts.pt/matematica/geometer.htm

http://www.educ.fc.ul.pt/icm/icm99/icm43/elipses.htm

http://www.educ.fc.ul.pt/icm/icm2000/icm27/

Imagens:

http://www.pensevestibular.com.br/wp-content/uploads/2010/11/elipse.gif

http://www.educ.fc.ul.pt/icm/icm2000/icm27/images/elip1.gif

http://alfaconnection.net/images/GEO150108a.gif

http://www.coladaweb.com/matematica/conicas_arquivos/image001.gif

http://mandrake.mat.ufrgs.br/edumatec/login/webfolio/homepage/sussu_
assuncao/elipse.jpg

http://www.educ.fc.ul.pt/icm/icm99/icm43/imagens/jardinei.gif

http://www.educ.fc.ul.pt/icm/icm99/icm43/imagens/alongame.gif

http://clientes.netvisao.pt/arselio/Cindy0/elipsircular.jpg

http://www.educ.fc.ul.pt/icm/icm2000/icm27/images/elip2.gif

http://www.educ.fc.ul.pt/icm/icm2000/icm27/images/supconic7.jpg

 

Outros Trabalhos Relacionados

Ainda não existem outros trabalhos relacionados

Início » Trab. Estudantes » Matemática » 10º Ano