Início » Trab. Estudantes » Química » 11º Ano

Trabalhos de Estudantes

Trabalhos de Química - 11º Ano

 

Efeitos da temperatura na progressão global de uma reacção de equilíbrio com iões de cobalto

Autores: Ana Gonçalves, Afonso Oliveira, Edgar Almeida, Mariana Rossi.

Escola: [Escola não identificada]

Data de Publicação: 22/06/2011

Resumo do Trabalho: Trabalho (relatório) sobre efeitos da temperatura na progressão global de uma reacção de equilíbrio com iões de cobalto, realizado no âmbito da disciplina de Química (11º ano). Ver Trabalho Completo

Comentar este trabalho / Ler outros comentários

Se tens trabalhos com boas classificações, envia-nos, de preferência em word para notapositiva@sapo.pt pois só assim o nosso site poderá crescer.

 

 

 

Efeitos da temperatura na progressão global de uma reacção de equilíbrio com iões de cobalto

Introdução

Um equilíbrio químico é a situação em que a proporção entre as quantidades de reagentes e produtos em uma reacção química se mantém constante ao longo do tempo.

Segundo Le Châtelier:

“Se for imposta uma alteração de concentrações ou de temperatura a um sistema químico em equilíbrio, a composição do sistema deslocar-se-á no sentido de contrariar a alteração a que foi sujeito”.

Noutras palavras, quando se aplica uma perturbação a um sistema em equilíbrio o sistema tende a provocar um reajuste para diminuir as influências da perturbação.

Sendo assim, existem alguns factores que irão  deslocar o equilíbrio da reacção para o lado dos reagentes ou dos produtos de entre os quais podemos destacar, além da pressão, a temperatura e a concentração.

No caso de perturbarmos o sistema fornecendo-lhe energia, ou seja, aumentando a temperatura, este vai desenvolver-se no sentido da reacção endoenergética, consumindo a energia que lhe é fornecida. Quando diminuímos a temperatura, o sistema reage de forma a compensar essa perturbação, ou seja, evolui no sentido da reacção exoenergética aumentando, assim, a energia do sistema.

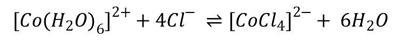
Nesta experiência, foi utilizada a seguinte reacção:

Sendo esta reacção endoenergética no sentido directo, se aumentássemos a temperatura a reacção progrediria no sentido directo, ou seja, absorveria a energia fornecida, fazendo com que houvesse uma maior produção de produtos, aumentando assim, a sua concentração no sistema e conferindo-lhe uma cor azul intensa, devido ao facto do cloreto de cobalto di-hidratado (um dos produtos) ter cor azul.

Se diminuíssemos a temperatura, ocorreria o contrário (a reacção evoluiria no sentido inverso), aumentando assim, a concentração de reagentes conferindo, portanto, ao sistema uma cor rosa-avermelhada intensa, devido ao cloreto de cobalto hexa-hidratado (um dos reagentes) ter essa cor.

O aumento do valor da concentração de um componente do sistema é seguida do consumo desse componente até se atingir um novo estado de equilíbrio. Já a diminuição do valor da concentração de um componente do sistema é seguida do consumo dos componentes do lado oposto do mesmo até se atingir um novo estado de equilíbrio.

Quando há um aumento da concentração de um ou mais reagentes, o sistema evolui no sentido directo de forma a diminuir a sua concentração. O mesmo acontece com o aumento da concentração dos produtos.

Por outro lado, quando há uma diminuição da concentração de um ou mais reagentes, o sistema volta ao estado de equilíbrio, deslocando-se a reacção no sentido inverso, diminuindo a concentração dos produtos e aumentando a dos reagentes para que se atinja novamente o estado de equilíbrio.

Nesta experiência, foi utilizada a seguinte reacção:

Se variássemos a concentração de um dos componentes da mistura reaccional, a reacção progrediria no sentido de contrariar a variação provocada.

MATERIAL

. Copo de 150ml;

. Copo de 250 ml;

. Microespátula;

. Microvaretas (palitos de madeira);

. Pipeta de Pasteur;

. Placa de aquecimento;

. Placa de microanálise;

. Tubo de ensaio pequeno (70x10 mm);

. Água;

. Vidro do relógio;

. Conta-gotas.

REAGENTES

. Água destilada;

. Cloreto de cobalto (II) hexa-hidratado (CoCl2.6H2O);

. Ácido clorídico concentrado (HCI);

. Gelo.

PROCEDIMENTO

Parte1- Efeito variação da temperatura

1-Preparar 10 ml de uma solução aquosa saturada de cloreto de cobalto (II) hidratado num copo à temperatura ambiente.

2-Transferir um pouco da solução para um tubo de ensaio muito pequeno.

3-Colocar o tubo de ensaio, alternadamente, em banho de água a ferver e num banho de gelo.

4-Apreciar a alteração na colocação do conteúdo do tubo de ensaio após a variação de temperatura provocada.

Parte 2- Efeito da variação da concentração

1-Numerar as cavidades de uma placa de microanálise em 4 colunas (1,2,3,4) de 3 alíneas (A,B,C).

2-Transferir para cada uma das cavidades, 1 ou 2 gotas de cloreto de cobalto.

3-Com o conta-gotas, adicionar 2, 4 e 6 gotas de água às cavidades A2, A3 e A4 respectivamente.

4-Com um conta-gotas, adicionar 1, 2 e 3 gotas de ácido clorídrico às cavidades B2, B3 e B4, respectivamente.

5-Com uma microespátula, adicionar 1, 2 e 3 porções de cloreto de sódio às cavidade C2, C3 e C4, respectivamente.

6-Agite com a vareta, lavando-a e secando-a sempre que se muda de posição.

7-Registar o conjunto de tonalidades observadas nas cavidades (azul, cor-de-rosa-azulado, azul-rosado ou cor-de-rosa) e elaborar uma tabela.

RESULTADOS

Parte1- Efeito da variação da temperatura

 

Banho de água a ferver

Banho de gelo

Cloreto de cobalto (II) hidratado

Vermelho-azulado

Rosa-avermelhado

Parte2- Efeito da variação da concentração

 

1

2

3

4

A

Cor-de-rosa

Cor-de-rosa (menos concentrado)

Cor-de-rosa (pouco concentrado)

Cor-de-rosa (pouquíssimo concentrado)

B

Cor-de-rosa

Cor-de-rosa (azulado)

Azul-rosado

Azul

C

Cor-de-rosa

Cor-de-rosa (mais concentrado)

Cor-de-rosa (muito concentrado)

Cor-de-rosa (muitíssimo concentrado)

DISCUSSÃO

Na 1ª parte da experiência, adicionámos 10 ml de uma solução aquosa saturada de cloreto de cobalto (II) hidratado, num copo, à temperatura ambiente e transferimos um pouco da solução para um tubo de ensaio muito pequeno.

Em seguida colocámos o tubo de ensaio, alternadamente, em banho de água a ferver e num banho de gelo e apreciamos a alteração na colocação do conteúdo do tubo de ensaio após a variação de temperatura provocada.

Sabíamos, por conta da reacção ser endoenergética no sentido directo que, se aumentássemos a temperatura (através do banho de água a ferver), isto faria com que a reacção absorvesse a energia fornecida, levando a uma maior produção de produtos e, consequentemente, a solução mudaria de cor para o azul provavelmente (a cor do cloreto de cobalto di-hidratado, um dos produtos).

No entanto, o resultado obtido foi um vermelho azulado, muito provavelmente devido à baixa concentração de cloreto de cobalto (II) hidratado presente na solução.

Sabíamos também que, se diminuíssemos a temperatura, a reacção evoluiria no sentido inverso, aumentando assim, a concentração de reagentes conferindo, consequentemente, à solução, a sua cor inicial novamente (rosa-avermelhado).

Já na 2ª parte da experiência, numerámos as cavidades de uma placa de microanálise em 4 colunas (1, 2, 3, 4) e 3 alíneas (A, B, C) e transferimos, para cada uma das cavidades, 1 ou 2 gotas de cloreto de cobalto.

Com um conta-gotas, adicionámos 2, 4 e 6 gotas de água às cavidades A2, A3 e A4 respectivamente.

Depois de limpar o conta-gotas, utilizámo-nos dele outra vez, adicionando 1, 2 e 3 gotas de ácido clorídrico às cavidades B2, B3 e B4 respectivamente.

Com uma micro espátula, adicionámos 1, 2 e 3 porções de cloreto de sódio às cavidades C2, C3 e C4 respectivamente.

Posteriormente, agitámos as soluções com a vareta, lavando-a e secando-a sempre que mudássemos de coluna (de A para B e de B para C) e registámos os resultados obtidos.

Pudemos verificar, pelos resultados obtidos na primeira coluna (A) que, quanto mais gotas de água adicionarmos, mais diluída ficava a solução. Isso explica-se pelo facto de que a dissolução da solução na água faz com que a concentração da solução diminua.

Já pelos resultados obtidos na segunda coluna (B), verificamos que quanto mais gotas de ácido clorídrico adicionarmos, mais a cor rosa-avermelhada da solução se aproximava do azul. Isso explica-se pelo facto de que, quando se adiciona ácido clorídrico estão-se a adicionar iões cloreto (CI-), ou seja, há um aumento na concentração de um dos reagentes fazendo com que houvesse também um aumento na concentração dos produtos e como o cloreto de cobalto di-hidratado (um dos produtos) tem cor azul, a mistura tende a aproximar-se dessa cor.

Através dos resultados obtidos na terceira coluna c, verificámos que quanto mais cloreto de sódio adicionarmos, mais concentrada fica a cor rosa-avermelhada da solução.

Este resultado não era de se esperar, uma vez que o cloreto de sódio ao se misturar com a água presente no cloreto de cobalto hexahidratado, gera NaOH (hidróxido de sódio) e HCI (ácido clorídrico). E, como o HCI, contém iões cloreto (CI-), era de se esperar que a concentração de CI- aumentasse e ocasionasse os mesmos resultados obtidos na coluna B, isto é, que a solução se aproximasse do azul.

CONCLUSÃO

Ao se colocar um tubo de ensaio, alternadamente, em banho de água a ferver e num banho de gelo, pode-se apreciar a alteração na coloração do conteúdo do tubo de ensaio após a variação de temperatura provocada.

Tem de se lavar em consideração que, por conta da reacção ser endoenergética no sentido directo, o aumento da temperatura (através do banho de água a ferver), faria com que a reacção absorvesse a energia fornecida, levando a uma maior produção de produtos e, consequentemente, uma mudança de cor da solução para azul pois, a cor do cloreto de cobalto di-hidratado (um dos produtos) é esta.

Já a posterior diminuição da sua temperatura, levaria a reacção a evoluir no sentido inverso, aumentando assim, a concentração de reagentes conferindo, consequentemente, à solução, a sua cor inicial novamente (rosa-avermelhado).

Na primeira coluna (A), era de se esperar que a dissolução da solução na água, fizesse com que a concentração da solução diminuísse.

Já ao se verificar os resultados obtidos na segunda coluna (B), era de se esperar que quando se adicionasse ácido clorídrico, estaria a adicionar também iões cloreto (CI-), ou seja, haveria um aumento na concentração de um dos reagentes fazendo com que houvesse também um aumento na concentração dos produtos e como o cloreto de cobalto di-hidratado (um dos produtos) tem cor azul, a mistura tenderia a se aproximar desta cor.

Ao se verificar os resultados obtidos na terceira coluna © era de se esperar que, uma vez que o cloreto de sódio ao se misturar com a água presente no cloreto de cobalto hexahidratado gerasse NaOH (hidróxido de sódio) e HCI (ácido clorídrico), os iões cloreto (CI-) presentes no HCI aumentassem em concentração e ocasionassem os mesmos resultados que eram supostos ser obtidos na coluna B, isto é, que a solução se aproximasse do azul.

Os resultados por nós encontrados encontram-se de acordo com o esperado, com a excepção dos resultados obtidos na terceira coluna © da segunda parte da experiência. Esta falha pode ter sido causada por descuidado ou desatenção no momento da realização do experimento ou por falta de materiais em boas condições, necessários à obtenção de bons resultados.

Outros Trabalhos Relacionados

Ainda não existem outros trabalhos relacionados

Início » Trab. Estudantes » Química » 11º Ano