Início » Trab. Estudantes » Química » 11º Ano

Trabalhos de Estudantes

Trabalhos de Química - 11º Ano

 

Neutralização: Uma Reacção Ácido-Base

Autores: Joel Oliveira

Escola: Escola Secundária c/3º Ciclo de Santa Maria da Feira

Data de Publicação: 27/07/2011

Resumo do Trabalho: Relatório de actividade laboratorial cujo objectivo foi determinar a concentração de uma solução ácida com recurso à titulação, realizado no âmbito da disciplina de Química (11º ano). Ver Trabalho Completo

Comentar este trabalho / Ler outros comentários

Se tens trabalhos com boas classificações, envia-nos, de preferência em word para notapositiva@sapo.pt pois só assim o nosso site poderá crescer.

 

 

 

Neutralização: Uma Reacção Ácido-Base

Objectivos

Preparar laboratorialmente o titulante (solução de hidróxido de sódio).

Determinar a concentração de uma solução ácida com recurso à titulação.

Conhecer algumas técnicas laboratoriais utilizadas quer na preparação de soluções, quer na determinação de concentrações desconhecidas.

Introdução teórica

Uma reacção de Neutralização é uma reacção que ocorre entre um ácido e uma base, tendo como produtos finais um sal e água, é este tipo de reacções que ocorre durante uma titulação ou volumetria de ácido-base.

A titulação de ácido-base é uma técnica laboratorial que consistem na determinação da concentração de uma solução ácida ou básica, a partir de uma solução de concentração conhecida. Durante esta operação laboratorial adiciona-se o titulante (solução de concentração conhecida) ao titulado (solução de concentração desconhecida), até ao ponto de equivalência, que corresponde ao ponto no qual foram adicionadas quantidades estequiométricamente iguais dos reagentes. Teoricamente a titulação deveria cessar neste ponto, contudo, experimentalmente tal não acontece devido à impossibilidade de se detectar o ponto de equivalência, assim durante uma titulação o ponto que é possível identificar pela variação brusca de uma propriedade do titulado corresponde ao ponto final.

Essa variação pode ser o aparecimento ou desaparecimento de uma turvação, a mudança de cor da solução ou ainda a mudança de cor de um indicador previamente adicionado ao titulado.

Material/Reagentes

. Solução de ácido clorídrico (HCl) de concentração desconhecida (titulado)

. Solução-padrão de hidróxido de sódio (NaOH) de concentração conhecida (titulante)

. Azul de bromotimol – indicador de ácido-base

. Balão volumétrico de 100 ml (±0,1)

. Vareta de vidro

. Gobelé

. Conta gotas

. Almofariz com pilão

. Balança

. Vidro de relógio

. Espátula

. Esguicho com água destilada

. Macrocontrolador

. Pipeta volumétrica de 20 ml (±0,02 ml) do tipoEX

. Suporte Universal

. Pinça para bureta

. Funil

. Bureta de 25 ml (±0,030 ml) do tipo Ex

. 3 Erlenmeyers de 250 ml

. Luvas

. Bata

Procedimento experimental

Nesta actividade laboratorial preparou-se uma solução de hidróxido de sódio (NaOH), a qual depois se utilizou numa titulação para se determinar a concentração de uma solução de ácido cloridrico (HCl) que era o titulado.

Para preparar a solução de hidróxido de sódio, mediu-se a massa de (NaOH)  necessária para obter uma solução de concentração igual a 0,2 mol/dm3, para tal utilizou-se uma balança, uma espátula e um vidro de relógio, depois, colocou-se o hidróxido de sódio num almofariz e triturou-se recorrendo a um pilão.

Num gobelé colocou-se um pouco de água destilada e adicionou-se o hidróxido de sódio triturado, dissolveu-se agitando com uma vareta de vidro e seguidamente verteu-se a solução para um balão volumétrico, utilizando um funil e a vareta de vidro. De modo a evitar perdas de reagente, passou-se agua destilada pela vareta e pelo gobelé, e verteu-se no balão volumétrico, repetiu-se este procedimento mais duas vezes e por fim adicionou-se mais água destilada à solução e posteriormente, com um conta-gotas, adicionou-se mais agua destilada ate à marca existente no balão volumétrico. Por último, tapou-se e inverteu-se o balão volumétrico de modo a homogeneizar a solução de hidróxido de sódio.

Após a preparação da solução básica, necessária para a determinação da concentração da solução de ácido clorídrico, procedeu-se à titulação, para tal, pipetou-se 20 cm3 de titulado (ácido clorídrico) para um erlenmeyer, usando uma pipeta volumétrica e um macrocontrolador. Adicionou-se três gotas de azul de bromotimol ao erlenmeyer e agitou-se o recipiente. De modo a minimizar erros, lavou-se o interior da bureta com titulante e só depois se encheu a bureta.

Sempre a agitar o erlenmeyer contendo o titulado foi-se adicionando titulante e quando se verificou que a solução estava a começar a mudar de cor, adicionou-se gota a gota mais titulante, até a solução ficar azul, nesse momento cessou-se a titulação e registou-se o volume final de titulante que estava na bureta. Repetiu-se estes procedimentos mais duas vezes.

Montagem experimental

. Na bureta está contido o titulante (solução de hidróxido de sódio)

. No erlenmeyer está contido o titulado (solução de ácido clorídrico) e azul de bromotimol (indicador)

Registo de dados/cálculos

Solução de NaOH:

C= 0,2 mol/dm3

V= 100 ml = 100 cm3 = 0,1 dm3
 

 

Experimentalmente mediu-se 0,793 g de NaOH, logo a concentração obtida foi:

 

  

 

Volume de titulante /ml

Volume de titulado /ml

 

Volume inicial

Volume final

Titulação 1

25

10,15

20

Titulação 2

25

9,3

20

Titulação 3

25

10

20

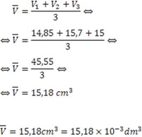
Titulação 1:

 

Titulação 2:

 

Titulação 3:

 

Volume médio de titulante:

 

Concentração de titulado:

 

Valor real da concentração de titulado:

 

Erro relativo percentual :

Conclusão e crítica

Nesta actividade laboratorial realizou-se uma titulação de ácido-base, utilizando o hidróxido de sódio como titulante de modo a determinar a concentração de ácido clorídrico, tendo-se obtido um valor para a concentração deste ácido igual a 1,518x10-1 mol/dm3. Quando comparado com valor real da concentração de acido clorídrico conclui-se que o resultado não foi muito exacto uma vez que se afasta um pouco do valor verdadeiro e existe um erro relativo percentual de 51,8%. O desfasamento entre os valores verdadeiro e obtido experimentalmente pode dever-se à ocorrência de erros sistemáticos, bem como erros aleatórios.

Os erros sistemáticos podem dever-se a uma possível má calibração da balança utilizada na medição da massa de NaOH, bem como a uma graduação deficiente da pipeta graduada e da bureta.

Os erros aleatórios também podem ter ocorrido e influenciado o valor da concentração de titulado obtida, de entre os erros aleatórios destaca-se a possibilidade de terem ficado resíduos de hidróxido de sódio quer no almofariz e no pilão, quer no gobelé e a possibilidade de terem sido feitas leituras não muito precisas dos volumes de titulante no final de cada titulação.

Bibliografia

Ventura, Graça, 11Q

Textos editores; 2008, 1ºedição, 2º tiragem

Anexo (actividade 10)

Volume de titulante / cm3

pH

0

2,42

1

2,41

2

2,42

3

2,45

4

2,48

5

3,16

5,5

3,06

5,9

3,78

6

4,51

6,1

10,22

6,5

10,95

7

11,25

8

11,13

9

11,77

10

11,87

Outros Trabalhos Relacionados

Ainda não existem outros trabalhos relacionados

Início » Trab. Estudantes » Química » 11º Ano