Início » Trab. Estudantes » Química » 11º Ano

Trabalhos de Estudantes

Trabalhos de Química - 11º Ano

Síntese de sulfato de tetraaminocobre (II) mono-hidratado

Autores: Joana Mata

Escola: [Escola não identificada]

Data de Publicação: 03/08/2011

Resumo do Trabalho: Relatório de actividade laboratorial cujo objectivo foi a síntese do sal complexo sulfato de tetraaminocobre (II) mono-hidratado, realizado no âmbito da disciplina de Química (11º ano). Ver Trabalho Completo

Comentar este trabalho / Ler outros comentários

Se tens trabalhos com boas classificações, envia-nos, de preferência em word para notapositiva@sapo.pt pois só assim o nosso site poderá crescer.

 

 

 

Síntese de sulfato de tetraaminocobre (II) mono-hidratado

Síntese de sulfato de tetraaminocobre (II) mono-hidratado: Cu(NH3)4SO4 . H2O

Objectivo:

A síntese do sal complexo sulfato de tetraaminocobre (II) mono-hidratado é o objectivo desta actividade prático-laboratorial.

Material/ equipamento:

O material/equipamento utilizado para a realização desta experiência foi:

. Almofariz com mão

. Balança semianalítica

. 1 copo de 50 mL

. 1 copo de 250 mL

. Equipamento para filtração a pressão reduzida

. Papel de filtro

. Película aderente

. Duas provetas de 10mL

. Vareta

. Vidro de relógio

. Hotte

Registo de resultados/registo de observações:

Os resultados a registar são relativos a medições de massa e volume realizados:

. Massa do sulfato de cobre penta-hidratado (CuSO4 . 5H2O) = 4,99g *

. Massa de papel de filtro = 0,29g

. Massa de papel de filtro + cristais = 4,86g

. Volume de H2O = 5,O mL

. Volume de álcool etílico = 10, 0 mL + 2 x ( 2 a 5 mL) **

. Volume de NH3 = 8.0 m

*  Sabe-se a massa de sulfato de cobre penta-hidratado através do cálculo da mesma uma vez que nos foi fornecido no protocolo o número de moles de sulfato de cobre penta-hidratado.

** 2x (2 a 5mL) é referente à adição de álcool etílico para lavagem dos cristais

Cálculos:

Cálculo da massa de sulfato de cobre penta-hidratdo (CuSO4 . 5H2O)

n (CuSO4 . 5H2O) = 0.020 mol 

M (CuSO4 . 5H2O)     = 1x63.5 + 1x32.0 +4x16.0+ 5x (2x 1.0+ 1x 16.0)
                             = 249.5 g/mol
 

Cálculo do reagente limitante:

V (NH3)= 8mL = 0.008L = 8 cm3  

r (solução de NH3) = 0.91 g/ cm3  

M( NH3)     =1x 14.0 + 3x1.0
                = 17g /mol
 

 

Cálculo da massa teórica do produto:

M( Cu(NH3)4SO4 . H2O)  = 1 x 63,5 + (14.0 + 3x 1.0)x 4+ 1 x 32,1 +4 x 16.0 +
                                     2 x 1.0 +16.0
                                  = 245,6 g/mol

 

Cálculo da massa real do produto (os cristais formados):

m real  = m (papel de filtro + cristais) – m (papel de filtro)

          = 4.86 - 0.29

          = 4.57 g

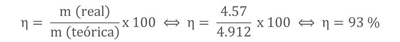
Cálculo do rendimento da reacção :

Conclusão e crítica:

Como conclusão desta actividade verifica-se que o objectivo da mesma foi cumprido, ou seja, a síntese de sulfato de tetraaminocobre (II) mono-hidratado foi realizada.

Sendo esperado, teoricamente, o valor de massa 4,912g e sabendo que o rendimento de uma reacção química nunca é 100 % é possível verificar um rendimento relativamente alto o qual constatamos, através de cálculos que, o rendimento da reacção foi de 93%, isto porque vários factores contribuíram para tal. Apesar de ter sido um rendimento consideravelmente alto nunca poderia ter sido um rendimento de 100% uma vez que houve perda de algum reagente (sulfato de cobre penta- hidratado) na transferência do vidro do relógio para o gobelé e também perda aquando da transferência  dos cristais que se encontravam no gobelé para o equipamento para filtração a pressão reduzida. Para além dos pontos anteriormente focados, há também que referir o facto de haver arredondamentos nos cálculos (como por exemplo o cálculo da massa molar de sulfato de cobre penta-hidratado) que influenciam o resultado final.

Foi possível obter no final desta actividade laboratorial cristais azuis visíveis à vista desarmada relativamente “grandes”.

A experiência decorreu com grande normalidade, não tendo existindo qualquer tipo de contratempo que limitasse a realização da experiência. Não há assim nada mais a registar nem a comentar.

Outros Trabalhos Relacionados

Ainda não existem outros trabalhos relacionados

Início » Trab. Estudantes » Química » 11º Ano